0 引言
近年来中国风电发展迅速,截至2020年底,全国风电累计装机容量2.81亿kW,发电量4665亿kWh,连续11年位居世界第一[1]。“三北”地区风电多采取典型的“大规模集中式开发、高电压远距离输送”模式,风电汇集外送线路距离长,网架结构相对薄弱且缺乏火电支撑,呈现显著的弱电网特征[2],容易引起一系列安全稳定控制方面的问题。2011至2012年中国曾发生多起风电大规模脱网事故,使风电运行安全稳定问题迅速得到业内各方重视,业内也开始从技术规范、机组改造、无功电压控制(automatic voltage control,AVC)、系统部署等方面入手积极应对。目前,大规模风电集中并网区域均已建成了功率预测、有功/无功控制等系统,基本解决了断面功率裕度控制、无功电压偏差控制、系统网损优化等常规新能源接入问题[3-4]。随着风电接入比例增长,现场运行中陆续暴露出一些新的工程实际问题。其中,在冀北电网发生的风电汇集系统电压非周期反复波动现象,造成数次风电机组大面积脱网,最高损失风电出力47.6万kW,亟需有针对地开展研究并加以解决。
大规模风电并网系统电压波动受到风资源波动特性、风机类型、无功补偿设备动作特性、电网结构等因素共同影响[5],其发生机理一般可归为静态电压稳定和暂态电压稳定两大类。前者的分析方法主要包括连续潮流法[6]、雅可比矩阵奇异法[7]、灵敏度分析法[8]等,其中可基于PV曲线对静态电压稳定问题进行直观理解,PV曲线描述了随着风电有功的增加,系统电压随之变化甚至失稳的规律。文献[9]表明,系统运行越接近静态电压稳定极限,风电有功功率波动幅度引起的系统电压波动幅度越大。暂态电压稳定问题则主要采用仿真分析的方法,观察不同类型故障下的电压响应波形,根据故障极限切除时间等指标判断系统暂态电压稳定程度[10]。文献[11]提出了基于转子侧变频器暂态电压控制及桨距角控制的风电场并网暂态电压稳定性提升方法,通过使风电机组在故障过程中发出无功功率来支持重建电网电压。
相关研究显示,与传统以火电机组为主要电源的大电网系统相比,风电集中并网系统运行特性具有显著区别[12-13]。随着理论研究不断深入以及大规模风电实际运行经验不断累积,人们逐渐认识到风电汇集系统电压问题的多样性和复杂性,传统电压稳定分析方法不能完全适用于新暴露的电压波动稳定问题。本文针对的大规模风电汇集系统电压反复波动现象是一个工程中观测到的新现象,与新能源发电随机波动性及无功补偿设备调节引起的电压波动现象在形态和机理上具有明显区别。与有功功率随机波动引起的电压波动相比,本文所针对的电压波动现象具有较大且相对固定的电压波动幅值,实际观测中可达0.1 pu。常见的由于无功补偿设备动作引起的电压波动现象往往伴随较大幅度的无功变化,且电压波动时有功出力相对平稳,这也与本文针对的电压反复波动现象不符。根据从电压反复波动事故现场收集的录波数据,期间存在风电机组反复进出故障穿越现象,初步推断电压反复波动机理与机组故障穿越特性相关。风电出力水平较高时发生的电压反复剧烈波动现象具有较为严重的事故后果,难以通过传统电压稳定分析方法直接解释,目前几乎未有文献开展针对性研究。
基于新能源汇集区域电网实际运行数据及故障录波数据,本文首先分析大风工况下电网电压及功率曲线波动规律,在此基础上,采用风电机组故障期间控制特性与电网运行特性相结合的分析思路,给出电压反复波动现象发生的机理解释,并通过仿真进行验证。进一步,研究抑制电压反复波动的风电机组低电压穿越策略优化方法。
1 大规模风电汇集系统电压反复波动现象
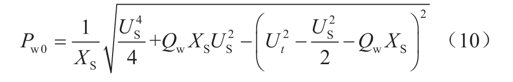
冀北电网某风电汇集地区在风电出力水平接近送出通道静态电压稳定极限工况下,频繁出现并网点电压反复剧烈波动现象,如图1所示。电压波动谷值在0.9 pu左右,峰值在1.0 pu左右,电压峰谷值变化不存在固定的波动周期,单一波动回合具有秒级时间尺度,期间伴随风电有功出力的反复波动。

图1 某场站风电出力水平较高时电压和功率波动情况
Fig.1 Voltage and power fluctuation of a wind farm with high wind power output
1)当电压降低到0.9 pu后,风电集群有功功率迅速降低,与此同时电压随之恢复升高,即图1中的粉色区域;
2)当电压恢复到0.95~1.0 pu范围时,有功功率逐渐恢复,系统电压随之再次降低,如图1中浅绿色区域;
3)电压和有功功率反复波动,有功功率降低/电压升高速度快于有功功率上升/电压下降速度。
一般而言,电力系统正常运行时的电压波动主要来源于功率波动,对于大规模风电集中并网地区,常见工况包括无功补偿设备动作引起的电压波动以及风资源随机波动特性引起的电压波动。单纯无功补偿设备调节引起的电压波动曲线与有功功率变化曲线间不存在图1所示的关联关系。对于风资源随机波动引起的电压波动,电压波动曲线也和风电有功功率变化曲线成负相关关系,但波动速率和幅值受到风资源波动限制,不具有图1所示的秒级峰谷值切换速率,一般也不存在变化幅值相对固定的反复波动规律。图2是电压反复波动期间,现场录波记录的风电机组功率及故障穿越信号变化曲线,可知电压反复波动期间风电机组存在反复进出故障穿越现象,由此推断风电机组故障期间功率响应特性是引起系统电压反复波动的重要影响因素。下文将结合风电机组低电压穿越特性对电压反复波动现象进行机理分析。

图2 电压波动期间风电机组功率波动与故障穿越信号录波曲线
Fig.2 Recording curve of wind turbine active and reactive power variation and fault ride through signal during voltage fluctuation
2 大规模风电汇集系统电压反复波动机理分析
2.1 风电机组低电压穿越期间功率控制特性
风电机组运行时存在正常状态、故障穿越状态、故障恢复状态3种运行工况。在正常工况下,风电机组多采用定功率控制模式,其中有功功率由最大功率追踪控制或场站有功控制系统给定,无功功率则由场站无功电压控制系统子站控制。当风电机组机端电压低于某定值时(一般设置为0.9 pu左右),风电机组将进入低电压穿越状态。根据《风电场接入电力系统技术规定》(GB/T 19963)要求[14],电压跌落期间风电场应具备动态无功支撑能力。风电机组低电压穿越期间典型功率变化如图3所示,低穿前机组有功和无功出力分别为Pw0和Qw0,tf时刻机组进入低穿状态,目前主流的风电机组低穿期间多采用无功优先的模式,首先根据电压跌落深度确定无功电流大小,即机端电压与0.9的差值乘以一定比例系数kc,而有功功率则被限制到较低水平Pw1;tc1时刻故障消除,无功功率一般直接恢复到低穿前水平,有功功率直接恢复或按照一定斜率kp恢复,tc2时刻恢复到故障前水平。整个低穿过程中功率变化如式(1)和式(2)所示。


图3 低电压穿越期间风电机组功率变化示意图
Fig.3 Schematic diagram of wind turbine active and reactive power change during LVRT(low voltage ride through)
2.2 风电汇集系统PV曲线
基于图4所示的单机无穷大等效系统分析风电送出系统电压反复波动机理,借助系统PV曲线刻画不同无功功率下电压与有功功率间的响应关系。

图4 风电汇集系统等效拓扑
Fig.4 Equivalent topology of wind power gathering system
将风电侧等效为功率源和送出阻抗,为了便于分析,假设稳态情况下风电场有功功率为Pw,无功功率为Qw,则有:

式中:UPCC为风电并网点电压;θ为并网点相位;US为电网侧电压;RS+jXS为送出阻抗。忽略电阻RS,分别得到风电场送出功率与电压的关系:

根据式(4)、(5),消去θ 可得:

求解UPCC可得:

式(7)给出了风电功率与并网点电压之间的关系。求解
,可得:

式中:
可知,当σ=0 时,
此时:

式(9)给出了PV曲线拐点的数值,由式(8)、(9)可知,当系统网架结构、风电场无功功率不发生变化时,随着风电有功功率增大,系统电压逐渐降低,且由于
不断增大,电压下降速率加快,直至达到拐点系统电压崩溃。
2.3 考虑机组低电压穿越特性和弱电网PV曲线特性的电压反复波动机理
由式(7)可得,假设风电有功功率在t时刻增加至Pw0:

此时对应的并网点电压为Ut,风电机组进入低电压穿越阈值,风电机组经过短暂的延时(一般为10 ms左右)将切换到低电压穿越状态。若此时系统并未发生故障,网架结构没有改变,根据式(1)、(2),风电机组发出的有功功率将快速减少为Pw1,无功功率将变为UPCCkC(0.9-UPCC),代入式(6)并求解UPCC,可得:
式(11)为关于UPCC的四次方程式,难以解析表达。随着风电有功功率减少且发出无功功率支撑电压,UPCC将升高,若UPCC抬升至风电机组退出低电压穿越阈值以上时,风电机组将逐渐恢复到扰动前的状态,进而机组将进入反复低电压穿越,伴随电压和功率反复波动,结合图5阐述具体过程如下。
1)风电有功功率逐渐增加,系统电压沿PV曲线F1(Pw,Qw,XS,US)下降,t1时刻系统电压UA低于风电机组低电压穿越阈值,风电机组进入低电压穿越。目前绝大多数风电机组进入低电压穿越后会降低新能源有功出力,使得系统运行点由运行点A:(PA,UA)跃迁到运行点B:(PB,UB),运行点轨迹在趋势上沿PV曲线跃迁,移动轨迹由机组低电压穿越期间有功、无功变化特性决定,有
。
2)风电有功出力降低且无功增加,电压随之升高,若UB高于风电机组退出低电压穿越的阈值,经过一定延时(一般为10 ms左右),t2时刻风电机组退出低电压穿越状态。
3)风电机组退出低电压穿越后有功、无功恢复,系统运行点由B回到A,移动轨迹由机组退出低穿的有功、无功变化特性决定。大部分机组退出低电压穿越后无功立刻恢复,有功同时恢复或以一定斜率在秒级时间内恢复,对于后者,系统运行点先由B移动至B':(PB,UB′),有
,再沿PV曲线F1回到A。
4)当t3时刻风电机组机端电压再次低于进入低电压穿越的阈值,风电机组会再次进入穿越,重复上述过程,造成系统电压反复波动。
图1所示电压反复波动过程中的电压和有功变化情况与图5中电压和有功周期性变化趋势基本吻合。反复波动过程中,电压波动幅值为

图5 反复低穿期间系统运行点变化示意图
Fig.5 Schematic diagram of system operation point change during continuing LVRT
式中:dUA'B'可以看作有功减少引起的电压幅值增量;dUBB'为无功增加引起的电压幅值增量。有:

根据式(2),
对于无故障时的电压浅度跌落工况,风电无功变化较小,有
因此有:
弱电网场景下,XS取值较大,假设PA不变,则运行点A 更加靠近系统静态电压稳定极限,则
显著增大,从而导致dUA'B'增大。可见,弱电网背景下,风电机组状态切换与系统PV曲线相互作用引起电压反复波动现象将更加明显,电压波动幅值更大,对系统安全稳定运行构成更加严重的威胁。
2.4 电压反复波动机理仿真验证
搭建冀北电网某风电汇集地区仿真模型,逐渐增加风电出力,观察系统末端风电场电压波动情况。该风电场风电机组模型参数设置为:进入低电压穿越阈值为0.89 pu,退出低电压穿越阈值为0.9 pu,穿越期间有功功率被限制到进入穿越前有功功率的30%,无功比例系数kc=2,退出后无功立刻恢复,有功根据指定斜率恢复。
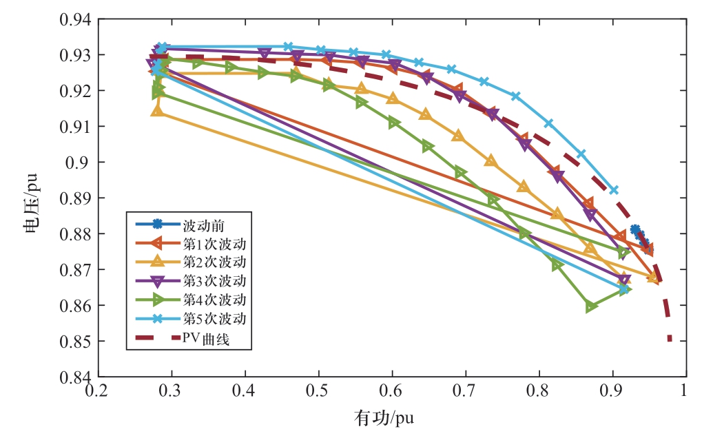
仿真中随着风电出力增加,风电场并网点出现电压反复波动现象,并网点电压和功率波动曲线如图6所示。低电压穿越期间风电机组发出无功由电压跌落幅度决定,由于电压跌落幅度较小,风电机组发出无功较小,而有功则跌落至30%。图7给出了电压反复波动期间风电场并网点在PV曲线图上的变化轨迹。虚线为不考虑低电压穿越时并网点的PV曲线,运行点的变化趋势与2.3节的分析结论相符,随着有功快速大幅减少,运行点迅速移动到PV曲线左上部分,电压迅速升高。退出故障穿越后,有功逐渐恢复,运行点沿原PV曲线趋势逐渐向右下移动,电压随之下降。对于每次电压波动,运行点移动轨迹的差别主要受并网点无功及区域内其他场站功率变化影响。

图6 某风电场并网点电压和功率波动曲线
Fig.6 Voltage and active/reactive power fluctuation curve of a wind farm

图7 电压反复波动期间风电场并网点PV曲线
Fig.7 PV curve of wind farm during repeated voltage fluctuation
根据2.3节的分析可知,触发系统进入电压反复波动状态需要两个必要条件,一是电压降低后风电机组进入低电压穿越状态,二是进入故障穿越后,弱电网背景下电压幅值增量较大,系统电压恢复至退出低电压穿越阈值之上。能够达到上述触发条件的初始工况除了无故障情况下风电有功功率增加导致系统电压降低之外,还包括发生故障导致的系统电压降低。图8给出了冀北电网某风电汇集区域主变跳开退出运行后,系统电压发生反复波动的仿真波形,期间风电有功功率变化如图9所示,电压波动幅度约在0.05 pu左右。尽管初始工况不同,一旦触发电压反复波动,其作用机理相同,均为风电机组进出低电压穿越状态切换引起系统运行点变化。

图8 不同故障形式下某风电汇集站电压波形
Fig.8 Voltage of a wind power gathering station under different fault modes

图9 故障期间主变退出后汇集站有功波形
Fig.9 Active power of a wind power gathering station after main transformer quits during fault
另一方面值得注意的是,对于图4所示的单机无穷大系统,发生的电压反复波动现象呈周期性变化,波动周期由风电机组低电压穿越策略的功率响应速率及延迟时间等因素决定。对于实际运行和仿真模型中的复杂多机系统,其电压反复波动现象往往呈现不定周期波动,这主要是由于复杂多机系统包含多台风电机组、多条送出线路,不同场站、不同风电机组很难具有完全一致的运行工况,从而导致各台机组进入、退出故障穿越的时间以及故障穿越过程中的功率响应存在差别,且不同机组、不同场站间的电压变化可相互影响,使得场站并网点及汇集站电压反复波动一般表现为不固定周期。
3 大规模风电汇集系统电压反复波动抑制方法
根据第2章的分析,大规模风电汇集系统电压反复波动现象是风电机组故障穿越策略与电网功率-电压变化特性共同作用的结果,其抑制方法的关键是避免在机组进入低电压穿越后,系统电压恢复至退出低电压穿越阈值之上,可以分别从电网侧和风电机组侧着手改进。
从电网侧改善这一现象的关键是提高系统强度,使得系统功率-电压灵敏度降低,同样功率变化对应的电压增量幅值相对减小,机组进入故障穿越后电压无法恢复至退出低电压穿越阈值之上,从而不满足电压反复波动的诱发条件。这一改进方法原理清晰,增加一条送出线路是提升电网强度的常用方法,但成本较高,对于大多数风电场,这样做并不实际,难以作为性价比较高的电压反复波动抑制方法加以推广。
电压反复波动现象与风电机组故障穿越期间功率响应特性密切相关,从风电机组故障穿越特性优化角度改善这一现象具有操作简单、改造成本低等优点,方便应用于存量风电场和新建风电场,推荐的具体优化方案包括:
1)提升风电机组进出低电压穿越的阈值;
2)改变穿越期间机组有功控制策略。
3.1 提升机组进出低电压穿越的阈值
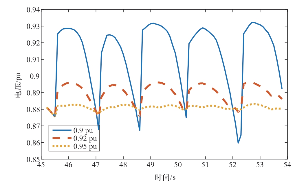
若提高退出低电压穿越阈值,使得图5中UB小于风电机组退出低穿的阈值,可抑制机组退出低穿,从而改善电压反复波动。图10给出了退出穿越阈值分别为0.9 pu、0.92 pu、0.95 pu时的电压波动曲线,可见,随风电机组退出穿越阈值增大,电压反复波动幅度逐渐减弱。

图10 不同退出穿越阈值下电压波动曲线
Fig.10 Voltage fluctuation curve under different LVRT exit threshold
3.2 改变穿越期间机组有功控制策略
优化风电机组在低电压穿越期间的有功策略,使风电机组进入低电压穿越状态后,由传统的“定有功”或“定有功电流”的方式改为“维持故障前有功功率”的控制模式,在保障机组故障期间无功电流支撑能力的基础上,尽量增加有功电流,维持故障前有功功率,如图11所示。根据第2章的分析,穿越期间保持有功出力可以减小运行点在PV曲线上的位移,从而降低电压升高幅度,抑制机组退出低电压穿越及后续的反复低电压穿越过程。对于冀北电网某风电汇集区域,与图8相比,图12给出了风电机组低电压穿越策略改进后,不同风电有功出力水平下的电压波形,可见在穿越过程中保持有功出力,可有效抑制电压反复波动现象。该策略改进方案已在冀北电网风电汇集地区开展应用,对实际风电机组低电压穿越策略进行改造升级,有效避免风电机组反复进出低电压穿越,改善电压反复波动,提升了风电集群安全稳定运行水平。

图11 改进前后电压浅度跌落的风机有功特性
Fig.11 Active power characteristics of the wind turbine with shallow voltage drop before and after modification

图12 改进后汇集站电压曲线
Fig.12 Voltage of a wind power gathering station after modification
4 结论
本文针对大规模风电汇集系统实际运行中新暴露的电压反复波动现象,深入分析了现象发生时电网电压及功率曲线波动规律,在此基础上综合考虑区域电压稳定特性与风电机组低电压穿越特性,阐明了风电机组状态切换与弱电网功率-电压特性相互作用引起电压反复波动的机理,最后从改进机组低电压穿越性能角度提出有效防范措施。文章主要结论如下。
1)大规模风电集中接入弱电网时,当风电出力水平接近静态电压稳定极限或发生故障导致网架结构变弱时,易触发风电机组进入低电压穿越状态。此时系统电压对有功变化灵敏度较高,若机组退出低电压穿越阈值过低,将导致机组运行状态在故障穿越和正常运行之间反复切换,系统运行点沿PV曲线循环往复跃迁,出现风电有功、系统电压反复剧烈波动的现象。
2)相比增加送出线路等提高系统强度的优化措施,风电机组低电压穿越特性改造是更加经济便捷的改进方案。提高风电机组退出低电压穿越阈值、采用穿越期间维持有功的策略可以有效抑制电压反复波动现象。
本文研究对于完善大规模风电汇集系统电压稳定理论体系、规范风电机组低电压穿越功率特性具有重要意义。未来将进一步研究抑制电压波动的风电机组低电压穿越过程中有功无功协调优化策略。
参考文献
[1]国家能源局.国家能源局2021年一季度网上新闻发布会文字实录[EB/OL].(2021-01-30)[2021-06-05].http://www.nea.gov.cn/2021-01/30/c_139708580.htm.
[2]刘正富,王朋,郭敬梅,等.基于MMC的风电机组低电压穿越测试装置控制策略研究[J].电力系统保护与控制,2021,49(19):38-47.
LIU Zhengfu,WANG Peng,GUO Jingmei,et al.Control strategy of wind turbine LVRT test equipment based on MMC[J].Power System Protection and Control,2021,49(19):38-47(in Chinese).
[3]吴林林,孙雅旻,刘海涛,等.经柔性直流并网的大规模新能源集群有功控制技术研究[J].全球能源互联网,2020,3(2):125-131.
WU Linlin,SUN Yamin,LIU Haitao,et al.Active power control technology of large-scale renewable energy cluster integrated by VSC-HVDC[J].Journal of Global Energy Interconnection,2020,3(2):125-131(in Chinese).
[4]TIAN H,LIU H Z,MA H,et al.Steady-state voltage-control method considering large-scale wind-power transmission using half-wavelength transmission lines[J].Global Energy Interconnection,2021,4(3):239-250.
[5]张天翼,王海风.风电并入弱交流系统引发次同步振荡的研究方法综述[J].电力系统保护与控制,2021,49(16):177-187.
ZHANG Tianyi,WANG Haifeng.Research methods for subsynchronous oscillation induced by wind power under weak AC system:a review[J].Power System Protection and Control,2021,49(16):177-187(in Chinese).
[6]伍利,古婷婷,姚李孝.基于改进连续潮流法的静态电压稳定分析[J].电网技术,2011,35(10):99-103.
WU Li,GU Tingting,YAO Lixiao.Static voltage stability analysis based on improved continuation power flow[J].Power System Technology,2011,35(10):99-103(in Chinese).
[7]党存禄,尚广广,魏金花.基于特征结构分析法的风电系统静态电压稳定分析[J].电测与仪表,2015,52(15):120-123.
DANG Cunlu,SHANG Guangguang,WEI Jinhua.Static voltage stability study of wind power system based on eigenvalue structure analysis method[J].Electrical Measurement &Instrumentation,2015,52(15):120-123(in Chinese).
[8]余贻鑫,曾沅,贾宏杰.静态电压稳定灵敏度判据及对dQL/dVL和dPL/dVL判据的评析[J].电力系统及其自动化学报,2000,12(3):1-4.
YU Yixin,ZENG Yuan,JIA Hongjie.A study on static voltage stability sensitivity criterion[J].Proceedings of the Csu-Epsa,2000,12(3):1-4(in Chinese).
[9]VITTAL E,O’MALLEY M,KEANE A.A steady-state voltage stability analysis of power systems with high penetrations of wind[J].IEEE Transactions on Power Systems,2010,25(1):433-442.
[10]张锋,李明霞,樊国伟,等.风电接入对地区电网暂态电压稳定性的影响[J].中国电力,2011,44(9):17-21.
ZHANG Feng,LI Mingxia,FAN Guowei,et al.Transient voltage stability study about a regional grid integrated with wind power[J].Electric Power,2011,44(9):17-21(in Chinese).
[11]迟永宁,王伟胜,戴慧珠.改善基于双馈感应发电机的并网风电场暂态电压稳定性研究[J].中国电机工程学报,2007,27(25):25-31.
CHI Yongning,WANG Weisheng,DAI Huizhu.Study on transient voltage stability enhancement of grid-connected wind farm with doubly fed induction generator installations[J].Proceedings of the CSEE,2007,27(25):25-31(in Chinese).
[12]张鑫,李媛媛,吉平.含高比例可再生能源的交直流混联电网规划方法[J].全球能源互联网,2021,4(4):372-381.
ZHANG Xin,LI Yuanyuan,JI Ping.A planning approach for AC/DC hybrid power grid with high proportion of renewable energy[J].Journal of Global Energy Interconnection,2021,4(4):372-381(in Chinese).
[13]王国栋,卢少锋,张晓佳,等.风电场VSC-HVDC并网不平衡运行改善控制策略[J].电力工程技术,2020,39(1):44-50.
WANG Guodong,LU Shaofeng,ZHANG Xiaojia,et al.An improved control strategy for wind farm with VSC-HVDC under unbalanced voltage[J].Electric Power Engineering Technology,2020,39(1):44-50(in Chinese).
[14]国家质量监督检验检疫总局,中国国家标准化管理委员会.风电场接入电力系统技术规定:GB/T 19963—2011[S].北京:中国标准出版社,2012.
General Administration of Quality Supervision,Inspection and Quarantine of the People’s Republic of China,Standardization Administration of the People’s Republic of China.Technical rule for connecting wind farm to power system:GB/T 19963—2011[S].Beijing:Standards Press of China,2012(in Chinese).
Mechanism Analysis and Suppression of Repeated Voltage Fluctuation Considering Fault Ride Through Characteristics of the Wind Turbine
WU Linlin1*,ZHAO Wei2,XU Man1,XU Peng2,LI Fuqiang2,YANG Yanchen1,PAN Yan2
(1.State Grid Jibei Electric Power Co.,Ltd.Research Institute(North China Electric Power Research Institute),Xicheng District,Beijing 100045,China;2.North China Branch of State Grid Corporation of China,Xicheng District,Beijing 100053,China)
Abstract:In recent years,the large-scale wind power collecting system has frequent voltage fluctuation in actual operation,and has the characteristics of large voltage fluctuation range and the fluctuation speed reaching the second level.It is significantly different from the voltage fluctuation caused by wind randomness or switching of reactive power compensation device.In operation,the wind turbines have been disconnected due to continuous low voltage ride through(LVRT),which seriously threatens the safe and stable operation of the power grid.The above phenomena involve the coupling effect of wind turbine LVRT strategy and power-voltage characteristics(PV curve)of weak power grid,which is difficult to be explained directly by the traditional voltage stability analysis method.This paper presents a method of analyzing the PV curve of wind turbine considering the characteristics of LVRT.The changing track of the system operating point is accurately described in the fluctuation process,and verified by simulation.Based on the analysis of the simulation results,the paper proposes the optimal control strategy of wind turbine LVRT to restrain the repeated voltage fluctuation.The simulation analysis based on the actual calculation shows that the strategy of increasing the threshold value of wind turbine exit LVRT and maintaining active power during LVRT can effectively suppress the phenomenon of voltage fluctuation.
Keywords:wind power collecting system;repetitive voltage fluctuation;static voltage stability;PV curve;low voltage ride through
作者简介:吴林林(1986),男,高级工程师,研究方向为新能源发电及并网技术。
通信作者,E-mail:wulin226@163.com。

吴林林
赵伟(1976),男,高级工程师,研究方向为电力系统规划技术。
(责任编辑 张宇)